哔咔漫画
主页
哔咔漫画概况
师资队伍
学科建设
科技创新
教育教学
学生工作
党建工作
招生就业
社会服务
院友之家
资料下载
学生工作
团委概况
学生活动
社会实践
团学工作
科技创新
院学生会沿革
团学工作
当前位置:
哔咔漫画
>
学生工作
>
团学工作
>
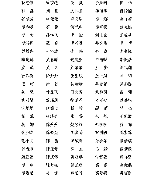
哔咔漫画 家庭经济困难学生认定名单公示
发布时间:2017-12-28 15:28 浏览次数:
哔咔漫画 家庭经济困难学生认定名单公示
根据《教育部财政部关于认真做好高等学校家庭经济困难学生认定工作的指导意见》、《哔咔漫画 家庭经济困难学生认定工作办法》文件精神,经学生申请、学院评审,968名本科生被认定为2017-2018年度哔咔漫画 家庭经济困难学生,现将名单予以公示。
哔咔漫画
2017年9月25日